PnBuMAtBuMAran-PCL 聚(甲基丙烯酸正丁酯-co-甲基丙烯酸叔丁酯)-聚己内酯 二嵌段共聚物
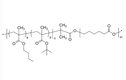
2英文公司名称:聚(甲基水性聚氨酯正丁酯-co-甲基水性聚氨酯叔丁酯)-聚己内酯日语名字简称:PnBuMAtBuMAran-PCL因为全名:Poly(n-butyl methacrylate-co-tert-butyl methacrylate)-b-poly(ε-caprolactone)因为別称:Poly([n-butyl methacrylate-co-t-butyl methacrylate]-block-caprolactone)CAS号:n/a; PnBuMA: 9003-63-8; PtBuMA: 25189-00-8; PCL: 24980-41-4原子核式:[(C8H14O2)x(C8H14O2)y]n [C6H10O2]m主链构造:二嵌段共聚物最主要成份:PCL亲疏丙烯酸乳液:疏水软件形式:怪物分解比较高的分数子荧光/带光:无油漆颜色/特征:nvme固态粉沫或小粒(以真正油漆颜色准确)饱和度:≤ 100%格局式:



pg电子娱乐游戏app
微信公众号
官方微信