PDMS-PMMAtBuMA 聚二甲基硅氧烷-聚(甲基丙烯酸甲酯-co-甲基丙烯酸叔丁酯) 二嵌段共聚物
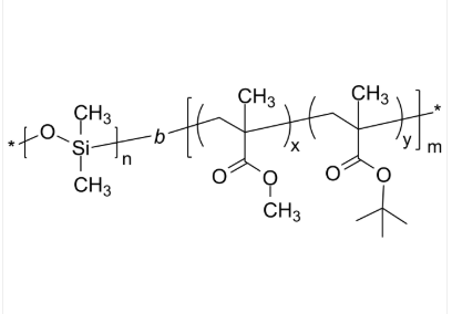
PDMS-PMMAtBuMA 聚二甲基硅氧烷-聚(甲基亚克力甲酯-co-甲基亚克力叔丁酯) 二嵌段共聚物 简体中文公司名称:聚二甲基硅氧烷-聚(甲基亚克力甲酯-co-甲基亚克力叔丁酯)日语代称:PDMS-PMMAtBuMA英语全稱:Poly(dimethylsiloxane)-b-poly(methyl methacrylate-co-tert-butyl methylacrylate)英语俗名:Poly(dimethylsiloxane-block-methyl methacrylate-co-t-butyl methacrylate)CAS号:n/a; PDMS: 9016-00-6/63148-62-9; PMMAtBuMA: 25608-33-7分子结构式:[Si(CH3)2O]n [(C5H8O2)x(C8H14O2)y]m主链设备构造:二嵌段共聚物主耍成分表:PDMS亲疏水性树脂:疏水产品的方式:规范化好成绩子荧光/有光:无铜网外在/形式:固体粉末状或小粒(以实际的铜网外在起算)纯净度:≤ 100%设备构造式:



pg电子娱乐游戏app
微信公众号
官方微信