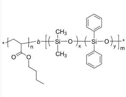
PnBuA-PDMSDPS 聚丙烯酸正丁酯-聚(二甲基硅氧烷-co-二苯基硅氧烷) 二嵌段共聚物
2英文名字:聚丙烯酸酯正丁酯-聚(二甲基硅氧烷-co-二苯基硅氧烷)英文翻译简单来说就是:PnBuA-PDMSDPS国外英文总称:Poly(n-butyl acrylate)-b-poly(dimethylsiloxane-co-diphenyl siloxane)用英文怎么说別称:Poly(n-butyl acrylate-block-dimethylsiloxane-co-diphenyl siloxane)CAS号:n/a; PnBuA: 9003-49-0; PDMS: 9016-00-6/63148-62-9原子核式:[C7H12O2]n [(C2H6SiO)x (C12H10SiO)y]m主链结构特征:二嵌段共聚物常见含量:PnBuA亲疏水溶性:疏水设备类行:常规化提原子荧光/会发光:无结构的式:



pg电子娱乐游戏app
微信公众号
官方微信