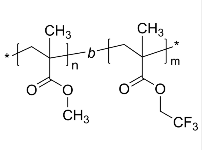
中文名称:聚甲基丙烯酸甲酯-聚(2,2,2-三氟乙基甲基丙烯酸酯)
国外英文全称:PMMA-PMATRIFE用英语全稱:Poly(methyl methacrylate)-b-poly(2,2,2-trifluoroethyl methacrylate)日语別称:Poly(methyl methacrylate-block-2,2,2-trifluoroethyl methacrylate)CAS号:n/a; PMMA: 9011-14-7; PMATRIFE: 54802-79-8原子式:[C5H8O2]n[C6H7F3O2]m主链架构:二嵌段共聚物主要的有效成分:PMMA亲疏水性树脂:疏水商不断研发创新型:常规的高分数子荧光/发亮:无外貌/型态:固体粉化或颗粒剂(以具体情况外貌为标准)饱和度:≤ 100%架构式:

内包装: 玻璃瓶应用场景:用以生物学调查,口服药发出,nm工艺和新材料技术调查。厂家:pg电子娱乐游戏app
生物学制造地:武汉销售商:北京pg电子娱乐游戏app
生物制品高新科技局限总部舒心警告:仅使用在科技检测,无法使用在机体!浙江pg电子娱乐游戏app
怪物高新科技比较有限工司作为PLGA,PCL,PAMAM,PAA等缩聚物的个性提炼,作为几乎渗透性基团体现,荧光标记符号这些。有关品牌:glycol)-poly(trimethyleneglycol)-Poly(glycolide)glycol)-b-polyethyleneimineglycol)-b-poly(lactide-co-glycolide)glycol)-b-poly(delta-valerolactone)glycol)-b-poly(D,L-lactide)glycol)-b-poly(caprolactone)glycol)-block-poly(L-asparticGlutarate)GlucoseGAS-PEG-GAS