PMMA-PHEMATHP 聚甲基丙烯酸甲酯-聚(2-[四氢-2H-吡喃-2-氧基]-甲基丙烯酸乙酯] 二嵌段共聚物
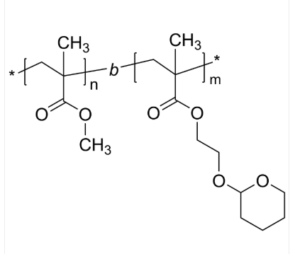
常常标题:聚甲基丙稀酸酯甲酯-聚(2-[四氢-2H-吡喃-2-氧基]-甲基丙稀酸酯乙酯]英文版代称:PMMA-PHEMATHP英文字母英文名称:Poly(methyl methacrylate)-b-poly(2-[tetrahydro-2H-pyran-2-yloxy]-ethyl methacrylate)国外英文学名:Poly(methyl methacrylate-block-2-[tetrahydro-2H-pyran-2-yloxy]ethyl methacrylate)CAS号:n/a; PMMA: 9011-14-7分子结构式:[C5H8O2]n[C11H18O4]m主链构成:二嵌段共聚物常见材质:PMMA亲疏水性树脂:疏水护肤商品型:常規100原子荧光/出现发亮:无美观/社会形态:固态硬盘安装粉末状原材料或颗粒状(以事实上美观算起)色度:≤ 100%架构式:

![PMMA-PHEMATHP 聚甲基丙烯酸甲酯-聚(2-[四氢-2H-吡喃-2-氧基]-甲基丙烯酸乙酯] 二嵌段共聚物-UDP糖丨MOF丨金属有机框架丨聚集诱导发光丨荧光标记推荐西安pg电子娱乐游戏app
生物](/images/logo.png)

pg电子娱乐游戏app
微信公众号
官方微信