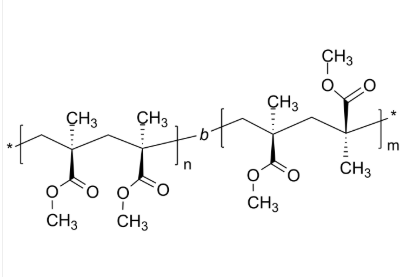
汉语称谓:聚甲基丙稀酸甲酯(等规)-聚甲基丙稀酸甲酯(间规)日语缩写:PMMA-PiMMA英语翻译全名是:Poly(methyl methacrylate, isotactic)-b-poly(methyl methacrylate, syndiotactic)英文怎么说别称:Poly(methyl methacrylate)CAS号:n/a; PMMA: 9011-14-7; PiMMA: 25188-98-1大化学结构式:[C5H8O2]n主链组成部分:二嵌段共聚物一般材料:PMMA亲疏水溶性:疏水品牌分类:正常最高聚物结构荧光/出现发亮:无颜色/形态特征:nvme固态咖啡豆或小粒(以真实颜色为界)含量:≤ 100%组成式:

包装方式: 玻璃瓶功用:应用于医药学理论研究分析,类药施放,纳米级技術和新素材理论研究分析。知名品牌:pg电子娱乐游戏app
生物技术产址:咸阳产生商:浙江pg电子娱乐游戏app
生态学新材料技术有局限大公司幸福的提示:仅代替科技创新科学试验,不是代替人!陕西pg电子娱乐游戏app
怪物创新科技有效企业带来了PLGA,PCL,PAMAM,PAA等整合物的自定义结合,带来了几乎亲水性基团呈现,荧光标志……。相关内容產品:HOOC-PEG-C11-SHHO-dPEO-OCH3HO/Cl-PCL-COOHhexaminehexadecylHeparin-SHHeparin-NH2Heparin-FITCHeparin-BiotinHA-Spacer-Biotin