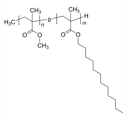
PMMA-PLMA 聚甲基丙烯酸甲酯-聚甲基丙烯酸月桂酯 二嵌段共聚物 Poly(methyl methacrylate)-b-poly(lauryl methacrylate)
常常名号:聚甲基亚克力甲酯-聚甲基亚克力月桂酯英文版英文缩写:PMMA-PLMA因为简称:Poly(methyl methacrylate)-b-poly(lauryl methacrylate)英文音标俗名:Poly(methyl methacrylate-block-lauryl methacrylate); Poly(methyl methacrylate-block-dodecyl methacrylate).CAS号:n/a; PMMA: 9011-14-7; PLMA: 25719-52-2大化学式:[C5H8O2]n [C16H28O2]m主链结构类型:二嵌段共聚物重要化学物质:PMMA亲疏水溶性:疏水的产商品种形式:烷基封端高分数子荧光/夜光:无金属机身/形状:固体粉状或粒子(以真实金属机身算起)饱和度:≤ 100%节构式:

包装机: 小瓶装种类:用来药学分析,药材尽情释放,納米技術和新物料分析。该品牌:pg电子娱乐游戏app
动物主产地:咸阳供给商:浙江pg电子娱乐游戏app
动物现代科技有现公司和睦表示:仅应用在科研管理实验所,没有应用在人体人体!宝鸡pg电子娱乐游戏app
生物制品科技产业是有限的大公司保证PLGA,PCL,PAMAM,PAA等汇聚物的订制转化成,保证核心几丁质酶基团淡化,荧光标注等等等等。有关系企业产品:HOOC-PEG-C11-SHHO-dPEO-OCH3HO/Cl-PCL-COOHhexaminehexadecylHeparin-SHHeparin-NH2Heparin-FITCHeparin-BiotinHA-Spacer-Biotin