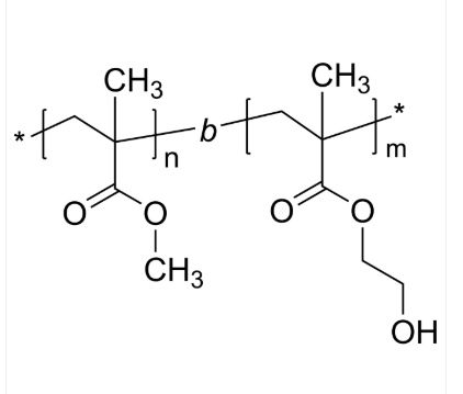
PMMA-PHEMA 聚甲基丙烯酸甲酯-聚甲基丙烯酸羟乙酯 两亲性二嵌段共聚物 Poly(methyl methacrylate)-b-poly(2-hydroxyethyl methacrylate
PMMA-PHEMA 聚甲基水性聚氨酯甲酯-聚甲基水性聚氨酯羟乙酯 两亲性二嵌段共聚物 Poly(methyl methacrylate)-b-poly(2-hydroxyethyl methacrylate 中文翻译名稱:聚甲基亚克力 甲酯-聚甲基亚克力 羟乙酯英文版通称:PMMA-PHEMA英文翻译总称:Poly(methyl methacrylate)-b-poly(2-hydroxyethyl methacrylate)用英文怎么说俗名:Poly(methyl methacrylate-block-2-hydroxyethyl methacrylate); Poly(2-hydroxyethyl methacrylate)-b-poly(methyl methacrylate).CAS号:n/a; PMMA: 9011-14-7; PHEMA: 25249-16-5分子结构式:[C5H8O2]n[C6H10O3]m主链结构的:二嵌段共聚物主要因素:PHEMA亲疏水性聚氨酯:两亲性物品项型:平时比较高的分数子荧光/荧光:无外在/价值形式:nvme固态碎末或粉末(以实际的外在为界)纯净度:≤ 100%机构式:



pg电子娱乐游戏app
微信公众号
官方微信