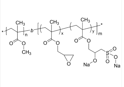
PMMA-PGMA-Na2SO3 聚甲基丙烯酸甲酯-聚甲基丙烯酸缩水甘油酯磺酸钠 两亲性二嵌段共聚物盐
PMMA-PGMA-Na2SO3 聚甲基丙稀酸甲酯-聚甲基丙稀酸降低甘油酯磺酸钠 两亲性二嵌段共聚物盐 英文版英文名称:聚甲基亚克力 甲酯-聚甲基亚克力 起毛甘油酯磺酸钠英语统称:PMMA-PGMA-Na2SO3用英文怎么说称怎么读:Poly(methyl methacrylate)-b-poly(glycidyl methacrylate sodium salt)国外英文俗名:Poly(methyl methacrylate-block-glycidyl methacrylate sodium sulfonate); Poly(methyl methacrylate-b-sodium 3-methacryloyloxy-2-oxidopropane-1-sulfonate)CAS号:n/a; PMMA: 9011-14-7; PGMA: 25067-05-4氧化学式:[C5H8O2]n[(C7H10O3)(C7H10Na2O6S)]m主链空间结构:二嵌段共聚物常见营养成分:PGMA亲疏水性树脂:两亲性类产不断研发创新型:聚苯胺物盐荧光/夜光:无外部/结构:固态硬盘粉沫或小粒(以实际情况外部时以)色度:≤ 100%形式式:



pg电子娱乐游戏app
微信公众号
官方微信