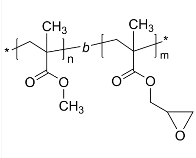
PMMA-PGMA 聚甲基丙烯酸甲酯-聚甲基丙烯酸缩水甘油酯 二嵌段共聚物 Poly(methyl methacrylate)-b-poly(glycidyl methacrylate)
PMMA-PGMA 聚甲基亚克力甲酯-聚甲基亚克力出现缩水甘油酯 二嵌段共聚物 Poly(methyl methacrylate)-b-poly(glycidyl methacrylate) 中文版命名:聚甲基亚克力 甲酯-聚甲基亚克力 减少甘油酯英语简称为:PMMA-PGMA英文翻译它的全称:Poly(methyl methacrylate)-b-poly(glycidyl methacrylate)日语学名:Poly(methyl methacrylate-block-glycidyl methacrylate)CAS号:n/a; PMMA: 9011-14-7; PGMA: 25067-05-4分子结构式:[C5H8O2]n[C7H10O3]m主链组成部分:二嵌段共聚物常见含量:PGMA亲疏水性聚氨酯:疏水设备款式:常见比较高的分数子荧光/会亮:无表面/性状:固态硬盘安装粉末状或颗粒物(以现实的表面来算)纯净度:≤ 100%型式式:



pg电子娱乐游戏app
微信公众号
官方微信