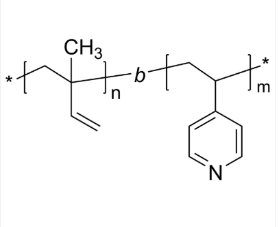
PIP-P4VP 聚(1,2-异戊二烯)-聚(4-乙烯基吡啶) 两亲性二嵌段共聚物 Poly(1,2-isoprene)-b-poly(4-vinyl pyridine)
PIP-P4VP 聚(1,2-异戊二烯)-聚(4-丁二烯基吡啶) 两亲性二嵌段共聚物 Poly(1,2-isoprene)-b-poly(4-vinyl pyridine) 汉语名字:聚(1,2-异戊二烯)-聚(4-乙稀基吡啶)英文字母缩写英文:PIP-P4VP日语称怎么读:Poly(1,2-isoprene)-b-poly(4-vinyl pyridine)英文版俗称:Poly(isoprene-block-4-vinylpyridine)CAS号:n/a; PIP: 9003-31-0; P4VP: 25232-41-1氧分子结构:[C5H8]n [C7H7N]m主链型式:二嵌段共聚物包括组分:P4VP亲疏丙烯酸乳液:两亲性软件类型的:长规比较高的分数子荧光/发亮:无外光/行态:固态硬盘安装粉未或粉末(以现实外光为标准)饱和度:≤ 100%的结构简式:



pg电子娱乐游戏app
微信公众号
官方微信