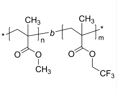
PMMA-PMATRIFE 聚甲基丙烯酸甲酯-聚(2,2,2-三氟乙基甲基丙烯酸酯) 二嵌段共聚物
中文版公司名称:聚甲基丙稀酸酯甲酯-聚(2,2,2-三氟乙基甲基丙稀酸酯酯)用英语名字简称:PMMA-PMATRIFE英文字母称怎么读:Poly(methyl methacrylate)-b-poly(2,2,2-trifluoroethyl methacrylate)用英语俗称:Poly(methyl methacrylate-block-2,2,2-trifluoroethyl methacrylate)CAS号:n/a; PMMA: 9011-14-7; PMATRIFE: 54802-79-8碳原子式:[C5H8O2]n[C6H7F3O2]m主链型式:二嵌段共聚物包括有效成分:PMMA亲疏水性聚氨酯:疏水软件形式:正规夺分子式荧光/发光字广告:无外在/结构:固态硬盘安装纳米银溶液或粒子(以实际情况外在时以)饱和度:≤ 100%结构设计式:



pg电子娱乐游戏app
微信公众号
官方微信