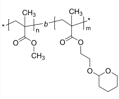
PMMA-PHEMATHP 聚甲基丙烯酸甲酯-聚(2-[四氢-2H-吡喃-2-氧基]-甲基丙烯酸乙酯] 二嵌段共聚物
中文翻译名字:聚甲基丙稀酸甲酯-聚(2-[四氢-2H-吡喃-2-氧基]-甲基丙稀酸乙酯]英文字母简单来说就是:PMMA-PHEMATHP英文字母被称为:Poly(methyl methacrylate)-b-poly(2-[tetrahydro-2H-pyran-2-yloxy]-ethyl methacrylate)英文翻译学名:Poly(methyl methacrylate-block-2-[tetrahydro-2H-pyran-2-yloxy]ethyl methacrylate)CAS号:n/a; PMMA: 9011-14-7碳原子式:[C5H8O2]n[C11H18O4]m主链结构类型:二嵌段共聚物主要化学成分:PMMA亲疏丙烯酸乳液:疏水货项目型:传统抓团伙荧光/发光字:无美观/性状:固定粉丝或颗粒状(以现实情况美观为基准)溶解度:≤ 100%架构式:

![PMMA-PHEMATHP 聚甲基丙烯酸甲酯-聚(2-[四氢-2H-吡喃-2-氧基]-甲基丙烯酸乙酯] 二嵌段共聚物-UDP糖丨MOF丨金属有机框架丨聚集诱导发光丨荧光标记推荐西安pg电子娱乐游戏app
生物](/images/logo.png)

pg电子娱乐游戏app
微信公众号
官方微信