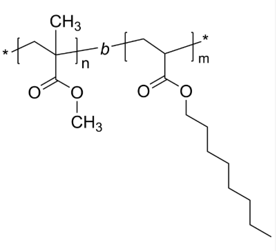
PMMA-POCA 聚甲基丙烯酸甲酯-聚丙烯酸正辛酯 二嵌段共聚物 Poly(methyl methacrylate)-b-poly(n-octyl acrylate)
汉语种类:聚甲基亚克力甲酯-聚亚克力正辛酯英语全称:PMMA-POCA日语全程:Poly(methyl methacrylate)-b-poly(n-octyl acrylate)用英文怎么说又名:Poly(methyl methacrylate-block-octyl acrylate)CAS号:n/a; PMMA: 9011-14-7; POCA: 25266-13-1原子式:[C5H8O2]n[C11H20O2]m主链结构设计:二嵌段共聚物大部分组成:PMMA亲疏水溶性:疏水成类目型:常規好成绩子荧光/发光字广告:无表面/要素:固态硬盘咖啡豆或颗粒剂(以现实表面算起)含量:≤ 100%机构式:



pg电子娱乐游戏app
微信公众号
官方微信