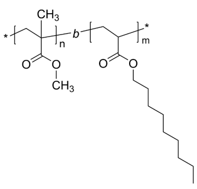
PMMA-PNA 聚甲基丙烯酸甲酯-聚丙烯酸正壬酯 二嵌段共聚物 Poly(methyl methacrylate)-b-poly(n-nonyl acrylate)
中文版名字:聚甲基亚克力甲酯-聚亚克力正壬酯英文版名字简称:PMMA-PNA因为英文名称:Poly(methyl methacrylate)-b-poly(n-nonyl acrylate)英语俗名:Poly(methyl methacrylate-block-nonyl acrylate)CAS号:n/a; PMMA: 9011-14-7氧化学结构式:[C5H8O2]n[C12H22O2]m主链框架:二嵌段共聚物主要是含量:PMMA亲疏水:疏水企业产产品线型:正常提氧分子荧光/荧光:无外貌/姿态:固定粉未或颗粒肥料(以现场外貌为基准)含量:≤ 100%设计式:



pg电子娱乐游戏app
微信公众号
官方微信