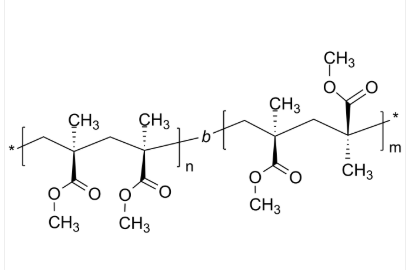
PMMA-PiMMA 聚甲基丙烯酸甲酯(等规)-聚甲基丙烯酸甲酯(间规) 二嵌段共聚物
2英文称谓:聚甲基丙稀酸甲酯(等规)-聚甲基丙稀酸甲酯(间规)英文字母简单来说就是:PMMA-PiMMA英文怎么说全名是:Poly(methyl methacrylate, isotactic)-b-poly(methyl methacrylate, syndiotactic)日语别称:Poly(methyl methacrylate)CAS号:n/a; PMMA: 9011-14-7; PiMMA: 25188-98-1碳原子式:[C5H8O2]n主链结构特征:二嵌段共聚物主要是因素:PMMA亲疏丙烯酸乳液:疏水物料业务类型:常用高分数子荧光/发光字:无看/社会形态:固体纳米银溶液或颗粒剂(以现实看为基准)色度:≤ 100%设备构造式:



pg电子娱乐游戏app
微信公众号
官方微信