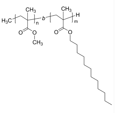
PMMA-PLMA 聚甲基丙烯酸甲酯-聚甲基丙烯酸月桂酯 二嵌段共聚物 Poly(methyl methacrylate)-b-poly(lauryl methacrylate)
汉语各称:聚甲基水性聚氨酯甲酯-聚甲基水性聚氨酯月桂酯英文音标代称:PMMA-PLMA英语它的全称:Poly(methyl methacrylate)-b-poly(lauryl methacrylate)英文怎么说别号:Poly(methyl methacrylate-block-lauryl methacrylate); Poly(methyl methacrylate-block-dodecyl methacrylate).CAS号:n/a; PMMA: 9011-14-7; PLMA: 25719-52-2分子结构式:[C5H8O2]n [C16H28O2]m主链设计:二嵌段共聚物常见基本成分:PMMA亲疏水性树脂:疏水产品设备类型的:烷基封端好的成绩子荧光/会亮:无表面/基本特征:固定粉沫或粒状(以实际的表面应写)含量:≤ 100%设计式:



pg电子娱乐游戏app
微信公众号
官方微信