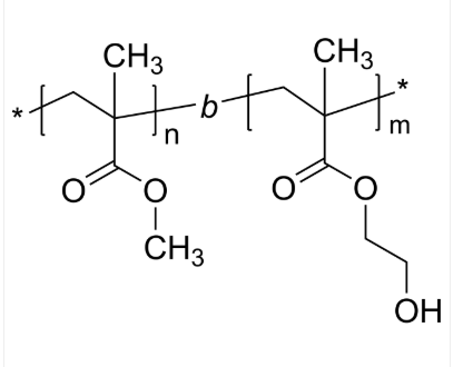
PMMA-PHEMA 聚甲基丙烯酸甲酯-聚甲基丙烯酸羟乙酯 两亲性二嵌段共聚物 Poly(methyl methacrylate)-b-poly(2-hydroxyethyl methacrylate
中文名称:聚甲基丙烯酸甲酯-聚甲基丙烯酸羟乙酯
因为通称:PMMA-PHEMA英文怎么说英文名称:Poly(methyl methacrylate)-b-poly(2-hydroxyethyl methacrylate)英语別称:Poly(methyl methacrylate-block-2-hydroxyethyl methacrylate); Poly(2-hydroxyethyl methacrylate)-b-poly(methyl methacrylate).CAS号:n/a; PMMA: 9011-14-7; PHEMA: 25249-16-5碳原子式:[C5H8O2]n[C6H10O3]m主链设计:二嵌段共聚物一般化学物质:PHEMA亲疏丙烯酸乳液:两亲性设备类型、:常规性拿高氧分子荧光/发亮:无外在/要素:固态硬盘安装咖啡豆或颗粒状(以具体情况外在准确)含量:≤ 100%的化学式:

礼品盒: 小瓶装应用领域:用做药学设计,用药宣泄,纳米工艺工艺和新原材料设计。公司:pg电子娱乐游戏app
生物工程主产地:银川产生商:渭南pg电子娱乐游戏app
生物技术科学有限制公司溫馨显示信息:仅在研究科学试验,可以在身体!浙江pg电子娱乐游戏app
生物学网络局限集团是内地的比较高的分数子混物物合并制造厂家,我集团可不可以带来了各种不同的各种不同的混物物的嵌段共聚物,有均聚物,嵌段共聚物,星形混物物等,混物物比如有PEG、PLGA、PLA、PCL、PS、PLL,PtBA,PMMA,PAA,P4VP,P2VP,PNIPAAm,聚赖氨酸、聚谷氨酸、聚天冬氨酸、PEI、还有其它的基团或是多肽混物物,类多,可带来了订制服務。重要性物料:mPEG-b-PLKCmPEG-b-PLEmPEG-b-PLDmPEG-BiotinmPEG-AllylmPEG-alkyne/CH3O-PEG-alkynemPEG-Alkane-SHmPEG-ALDmPEG-acrylatemPEG-acetalmPEG-AAMono-Biotin