PMMA-PGMA-Na2SO3 聚甲基丙烯酸甲酯-聚甲基丙烯酸缩水甘油酯磺酸钠 两亲性二嵌段共聚物盐
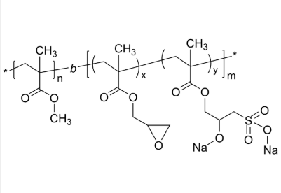
常常公司名称:聚甲基丙稀酸甲酯-聚甲基丙稀酸减少甘油酯磺酸钠用英文怎么说统称:PMMA-PGMA-Na2SO3英语怎么说全名:Poly(methyl methacrylate)-b-poly(glycidyl methacrylate sodium salt)用英文怎么说別称:Poly(methyl methacrylate-block-glycidyl methacrylate sodium sulfonate); Poly(methyl methacrylate-b-sodium 3-methacryloyloxy-2-oxidopropane-1-sulfonate)CAS号:n/a; PMMA: 9011-14-7; PGMA: 25067-05-4原子核式:[C5H8O2]n[(C7H10O3)(C7H10Na2O6S)]m主链机构:二嵌段共聚物基本部分:PGMA亲疏水:两亲性新产产品品种型:汇聚物盐荧光/出现发亮:无外觀/型态:固态硬盘粉末状原材料或颗粒肥料(以实际情况外觀为界)色度:≤ 100%设计式:



pg电子娱乐游戏app
微信公众号
官方微信