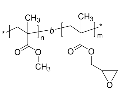
PMMA-PGMA 聚甲基丙烯酸甲酯-聚甲基丙烯酸缩水甘油酯 二嵌段共聚物 Poly(methyl methacrylate)-b-poly(glycidyl methacrylate)
常常称谓:聚甲基亚克力酯甲酯-聚甲基亚克力酯缩水率甘油酯英语缩写英文:PMMA-PGMA因为全程:Poly(methyl methacrylate)-b-poly(glycidyl methacrylate)英文怎么说俗称:Poly(methyl methacrylate-block-glycidyl methacrylate)CAS号:n/a; PMMA: 9011-14-7; PGMA: 25067-05-4团伙式:[C5H8O2]n[C7H10O3]m主链格局:二嵌段共聚物首要物质:PGMA亲疏水性聚氨酯:疏水软件方式:一般满分子结构荧光/放光:无美观/形状:nvme固态咖啡豆或颗粒状(以实际上的美观起算)溶解度:≤ 100%空间化学结构式:



pg电子娱乐游戏app
微信公众号
官方微信