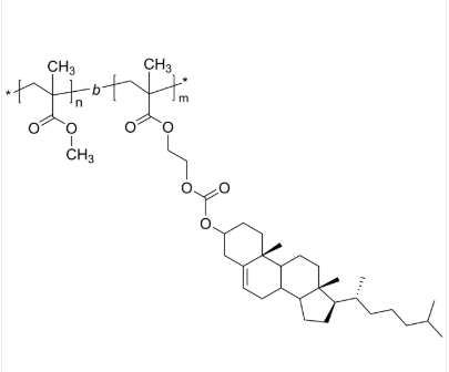
PMMA-PHEMAC 聚甲基丙烯酸甲酯-聚(2-[胆固醇甲酸酯]-甲基丙烯酸氧乙酯) 二嵌段共聚物
英语名字名字:聚甲基丙稀酸酯甲酯-聚(2-[蛋白质甲酸酯]-甲基丙稀酸酯氧乙酯)英文音标缩略词:PMMA-PHEMAC因为总称:Poly(methyl methacrylate)-b-poly(2-[cholesteryl formate]-oxyethyl methacrylate)英文怎么说別称:Poly(methyl methacrylate-block-2-[cholesteryl formate]oxyethyl methacrylate)CAS号:n/a; PMMA: 9011-14-7团伙式:[C5H8O2]n[C34H54O5]m主链构成:二嵌段共聚物重点成分表:PHEMAC亲疏水性树脂:疏水食产品线型:常规化满分子结构荧光/变色:无铜网表面/特性:固体粉末状或小粒(以现实的铜网表面算起)饱和度:≤ 100%形式式:

![PMMA-PHEMAC 聚甲基丙烯酸甲酯-聚(2-[胆固醇甲酸酯]-甲基丙烯酸氧乙酯) 二嵌段共聚物-UDP糖丨MOF丨金属有机框架丨聚集诱导发光丨荧光标记推荐西安pg电子娱乐游戏app
生物](/images/logo.png)

pg电子娱乐游戏app
微信公众号
官方微信