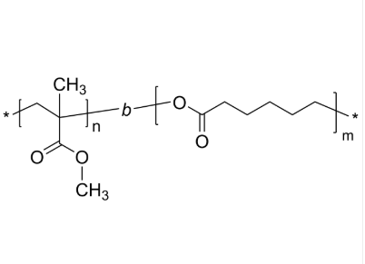
PMMA-PCL 聚甲基丙烯酸甲酯-聚己内酯 二嵌段共聚物 Poly(methyl methacrylate)-b-poly(ε-caprolactone)
PMMA-PCL 聚甲基亚克力 甲酯-聚己内酯 二嵌段共聚物 Poly(methyl methacrylate)-b-poly(ε-caprolactone) 英语名命名:聚甲基丙烯酸酯甲酯-聚己内酯英语怎么说简称英文:PMMA-PCL英语翻译称怎么读:Poly(methyl methacrylate)-b-poly(ε-caprolactone)日文别号:Poly(methyl methacrylate-block-6-caprolactone); PMMA-b-poly(2-oxepanone)CAS号:n/a; PMMA: 9011-14-7; PCL: 24980-41-4碳原子式:[C5H8O2]n [C6H10O2]m主链设计:二嵌段共聚物包括成份:PCL亲疏丙烯酸乳液:疏水產种内型:生物学化学降解涨大分子荧光/有光:无表面/特征:nvme固态粉末状原材料或颗粒剂(以其实表面为界)纯净度:≤ 100%设计式:



pg电子娱乐游戏app
微信公众号
官方微信