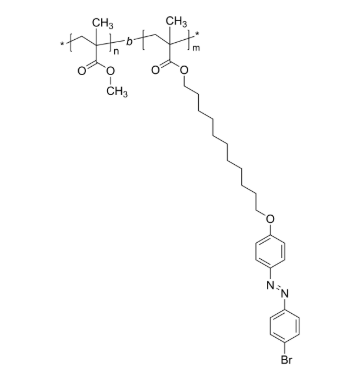
PMMA-PAzoMA 聚甲基丙烯酸甲酯-聚(11-[4-(4'-丁基苯基偶氮)苯氧基]-甲基丙烯酸十一酯) 二嵌段共聚物
中文名明称:聚甲基水性聚氨酯酯甲酯-聚(11-[4-(4'-丁基苯基偶氮)苯氧基]-甲基水性聚氨酯酯国庆酯)英文翻译代称:PMMA-PAzoMA因为中文名称:Poly(methyl methacrylate)-b-poly(11-[4-(4'-butylphenylazo)phenoxy]-undecyl methacrylate)国外英文学名:Poly(methyl methacrylate-block-11-[4-(4-butylphenylazo)phenoxy]undecyl methacrylate)CAS号:n/a; PMMA: 9011-14-7碳原子式:[C5H8O2]n[C31H44N2O3]m主链的结构:二嵌段共聚物大部分因素:PAzoMA亲疏水性树脂:疏水产品的内型:普通好的成绩子荧光/闪光:无的外型/要素:固定金属粉或科粒(以合理的外型应写)纯净度:≤ 100%结构特征式:

![PMMA-PAzoMA 聚甲基丙烯酸甲酯-聚(11-[4-(4'-丁基苯基偶氮)苯氧基]-甲基丙烯酸十一酯) 二嵌段共聚物-UDP糖丨MOF丨金属有机框架丨聚集诱导发光丨荧光标记推荐西安pg电子娱乐游戏app
生物](/images/logo.png)

pg电子娱乐游戏app
微信公众号
官方微信