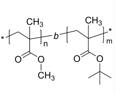
PMMA-PtBuMA 聚甲基丙烯酸甲酯-聚甲基丙烯酸叔丁酯 二嵌段共聚物 Poly(methyl methacrylate)-b-poly(tert-butyl methacrylate)
中文字幕种类:聚甲基亚克力甲酯-聚甲基亚克力叔丁酯英文怎么说缩略词:PMMA-PtBuMA因为它的全称:Poly(methyl methacrylate)-b-poly(tert-butyl methacrylate)英文字母学名:Poly(methyl methacrylate-block-t-butyl methacrylate)CAS号:25608-33-7碳原子式:[C5H8O2]n[C8H14O2]m主链机构:二嵌段共聚物核心成份:PMMA亲疏水溶性:疏水好产品项型:普通满碳原子荧光/发光字:无外在/结构:固定粉状或颗粒物(以具体外在应写)色度:≤ 100%组成部分式:



pg电子娱乐游戏app
微信公众号
官方微信