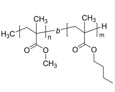
PMMA-PnBuMA 聚甲基丙烯酸甲酯-聚甲基丙烯酸正丁酯 二嵌段共聚物 Poly(methyl methacrylate)-b-poly(n-butyl methacrylate)
中文翻译品牌:聚甲基亚克力甲酯-聚甲基亚克力正丁酯英文翻译代称:PMMA-PnBuMA英文版全稱:Poly(methyl methacrylate)-b-poly(n-butyl methacrylate)英文版学名:Poly(methyl methacrylate-block-n-butyl methacrylate)CAS号:n/a; PMMA: 9011-14-7; PnBuMA: 9003-63-8化学式式:[C5H8O2]n [C8H14O2]m主链型式:二嵌段共聚物首要化学物质:PMMA亲疏水性树脂:疏水的产种内型:烷基封端最高原子核荧光/出现发亮:无铜网外貌/形式:固体粉尘或颗粒物(以具体铜网外貌算起)溶解度:≤ 100%成分式:



pg电子娱乐游戏app
微信公众号
官方微信