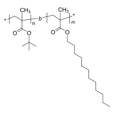
PtBuMA-PLMA 聚甲基丙烯酸叔丁酯-聚甲基丙烯酸十二酯 二嵌段共聚物 Poly(tert-butyl methacrylate)-b-poly(lauryl methacrylate)
中文名字名称大全:聚甲基水性聚氨酯叔丁酯-聚甲基水性聚氨酯十三酯英文翻译全称:PtBuMA-PLMA英文字母全程:Poly(tert-butyl methacrylate)-b-poly(lauryl methacrylate)英文版学名:Poly(tert-butyl methacrylate)-b-poly(dodecyl methacrylate); Poly(t-butyl methacrylate-block-lauryl methacrylate); Poly(t-butyl methacrylate-block-dodecyl methacrylate).CAS号:n/a; PtBuMA: 25189-00-8; PLMA: 25719-52-2分子结构式:[C8H14O2]n [C16H28O2]m主链组成:二嵌段共聚物最主要基本成分:PtBuMA亲疏水溶性:疏水类产项目类别很多型:长规夺原子核荧光/会发光:无外形/形态特征:固态硬盘碎末或颗粒剂(以真正外形起算)溶解度:≤ 100%机构式:



pg电子娱乐游戏app
微信公众号
官方微信