PnBuMA-PHEMA 聚甲基丙烯酸正丁酯-聚甲基丙烯酸羟乙酯 两亲性二嵌段共聚物
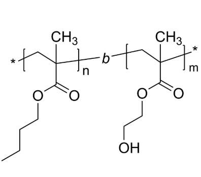
简体中文公司名称:聚甲基水性聚氨酯正丁酯-聚甲基水性聚氨酯羟乙酯英文版简称为:PnBuMA-PHEMA英语简称:Poly(n-butyl methacrylate)-b-poly(2-hydroxyethyl methacrylate)英文翻译俗名:Poly(n-butyl methacrylate-block-2-hydroxyethyl methacrylate)CAS号:n/a; PnBuMA: 9003-63-8; PHEMA: 25249-16-5原子核式:[C8H14O2]n [C6H10O3]m主链组成部分:二嵌段共聚物其主要组成成分:PHEMA亲疏丙烯酸乳液:两亲性食不断研发创新型:标准比较高的分数子荧光/荧光:无外部/姿态:固态硬盘粉沫或颗粒状(以预期外部为界)溶解度:≤ 100%节构式:



pg电子娱乐游戏app
微信公众号
官方微信