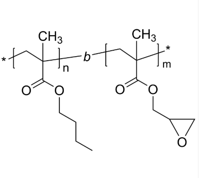
PnBuMA-PGMA 聚甲基丙烯酸正丁酯-聚甲基丙烯酸缩水甘油酯 二嵌段共聚物 Poly(n-butyl methacrylate)-b-poly(glycidyl methacrylate)
PnBuMA-PGMA 聚甲基亚克力正丁酯-聚甲基亚克力缩水率甘油酯 二嵌段共聚物 Poly(n-butyl methacrylate)-b-poly(glycidyl methacrylate) 中文名字字分类:聚甲基水性聚氨酯正丁酯-聚甲基水性聚氨酯缩水率甘油酯用英文怎么说简称为:PnBuMA-PGMA英语全名:Poly(n-butyl methacrylate)-b-poly(glycidyl methacrylate)英文怎么说別称:Poly(n-butyl methacrylate-block-glycidyl methacrylate)CAS号:n/a; PnBuMA: 9003-63-8; PGMA: 25067-05-4原子式:[C8H14O2]n [C7H10O3]m主链型式:二嵌段共聚物重要成份:PnBuMA亲疏水:疏水护肤项目型:常规性100分子结构荧光/发亮:无外部设计/姿态:固定粉丝或粉末(以其实外部设计为标准)纯净度:≤ 100%组成式:



pg电子娱乐游戏app
微信公众号
官方微信