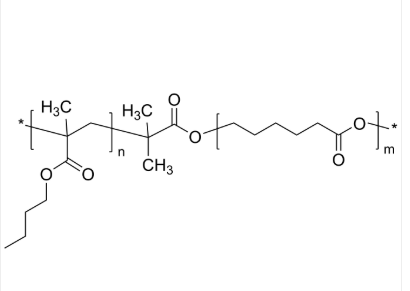
PnBuMA-PCL 聚甲基丙烯酸正丁酯-聚己内酯 二嵌段共聚物 Poly(n-butyl methacrylate)-b-poly(ε-caprolactone)
PnBuMA-PCL 聚甲基丙稀酸正丁酯-聚己内酯 二嵌段共聚物 Poly(n-butyl methacrylate)-b-poly(ε-caprolactone) 中文翻译字名字:聚甲基丙稀酸正丁酯-聚己内酯日文统称:PnBuMA-PCL英语翻译总称:Poly(n-butyl methacrylate)-b-poly(ε-caprolactone)用英语别称:Poly(n-butyl methacrylate-block-ε-caprolactone); Poly(n-butyl methacrylate-block-6-caprolactone); Poly(n-butyl methacrylate-block-2-oxepanone).CAS号:n/a; PnBuMA: 9003-63-8; PCL: 24980-41-4大化学式:[C8H14O2]n [C6H10O2]m主链组成部分:二嵌段共聚物主要的部分:PCL亲疏水性聚氨酯:疏水食商品种型号:菌物吸附抓大分子荧光/会亮:无外装/结构:固定颗粒物或颗粒物(以现场外装应写)色度:≤ 100%结构的式:



pg电子娱乐游戏app
微信公众号
官方微信