PADMMA-PtBuA 聚(1-金刚烷基甲基丙烯酸酯)-聚丙烯酸叔丁酯 二嵌段共聚物
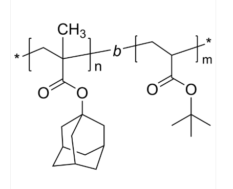
PADMMA-PtBuA 聚(1-金刚烷基甲基水性聚氨酯酯)-聚水性聚氨酯叔丁酯 二嵌段共聚物 中文字幕标题:聚(1-金刚烷基甲基水性聚氨酯酯)-聚水性聚氨酯叔丁酯英文字母统称:PADMMA-PtBuA英语翻译全程:Poly(1-adamantyl methacrylate)-b-poly(tert-butyl acrylate)英语翻译別称:Poly(1-adamantyl methacrylate-block-t-butyl acrylate)CAS号:n/a; PtBuA: 25232-27-3分子结构式:[C14H20O2]n[C7H12O2]n主链组成部分:二嵌段共聚物重点含量:PADMMA亲疏水:疏水护肤项目类别很多型:常规的夺团伙荧光/夜光:无外在/姿态:固定科粒或科粒(以现实情况外在为基准)溶解度:≤ 100%节构式:



pg电子娱乐游戏app
微信公众号
官方微信