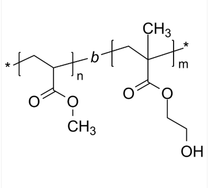
PMA-PHEMA 聚丙烯酸甲酯-聚甲基丙烯酸羟乙酯 两亲性二嵌段共聚物 Poly(methyl acrylate)-b-poly(2-hydroxyethyl methacrylate)
PMA-PHEMA 聚丙稀酸甲酯-聚甲基丙稀酸羟乙酯 两亲性二嵌段共聚物 Poly(methyl acrylate)-b-poly(2-hydroxyethyl methacrylate) 中文版标题:聚亚克力 甲酯-聚甲基亚克力 羟乙酯英语缩写:PMA-PHEMA国外英文中文名称:Poly(methyl acrylate)-b-poly(2-hydroxyethyl methacrylate)用英语别称:Poly(methyl acrylate-block-2-hydroxyethyl methacrylate)CAS号:n/a; PMA: 9003-21-8; PHEMA: 25249-16-5大化学结构式:[C4H6O2]n [C6H10O3]m主链格局:二嵌段共聚物包括材质:PHEMA亲疏水溶性:两亲性服务类型、:常规性最高原子核荧光/带光:无外型/结构:固态硬盘安装粉丝或颗粒状(以实际的外型起算)色度:≤ 100%组成部分式:



pg电子娱乐游戏app
微信公众号
官方微信