PMA-PCL 聚丙烯酸甲酯-聚己内酯 二嵌段共聚物 Poly(methyl acrylate)-b-poly(ε-caprolactone)
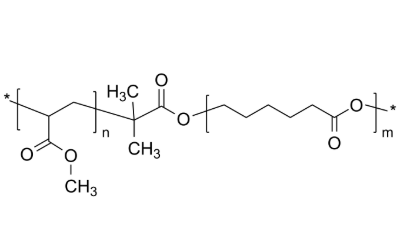
PMA-PCL 聚丙烯酸酯甲酯-聚己内酯 二嵌段共聚物 Poly(methyl acrylate)-b-poly(ε-caprolactone) 中文字幕公司名称:聚亚克力甲酯-聚己内酯英语翻译缩略词:PMA-PCL英文字母总称:Poly(methyl acrylate)-b-poly(ε-caprolactone)日文俗名:Poly(methyl acrylate-b-6-caprolactone); PMA-b-poly(2-oxepanone); PMA-PCL; Poly(methyl acrylate-block-ε-caprolactone).CAS号:n/a; PMA: 9003-21-8; PCL: 24980-41-4原子核式:[C4H6O2]n[C6H10O2]m主链结构类型:二嵌段共聚物关键组成成分:PCL亲疏水:疏水物分型号:怪物溶解比较高的分数子荧光/会发光:无外装/型态:固定金属粉或颗料(以其实外装起算)溶解度:≤ 100%架构式:



pg电子娱乐游戏app
微信公众号
官方微信