PFES-PMMA 聚二茂铁二甲基硅烷-聚甲基丙烯酸甲酯 二嵌段共聚物 Poly(ferrocenyldimethylsilane)-b-poly(methyl methacrylate)
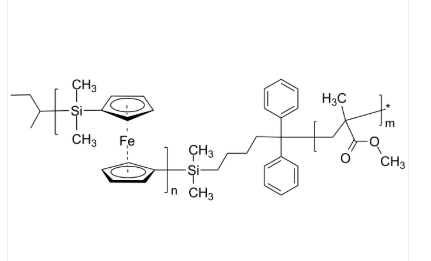
PFES-PMMA 聚二茂铁二甲基硅烷-聚甲基亚克力甲酯 二嵌段共聚物 Poly(ferrocenyldimethylsilane)-b-poly(methyl methacrylate) 中文版名号:聚二茂铁二甲基硅烷-聚甲基亚克力甲酯英文音标简称为:PFES-PMMA用英语全名:Poly(ferrocenyldimethylsilane)-b-poly(methyl methacrylate)CAS号:n/a; PMMA: 9011-14-7氧化学式:[C12H16SiFe]n [C5H8O2]m主链构成:二嵌段共聚物主耍部分:PFES亲疏水:疏水品牌的类型:标准蒙题子荧光/带光:无金属机身/体型:固定粉末状或小粒(以实际效果金属机身为界)含量:≤ 100%的结构简式:



pg电子娱乐游戏app
微信公众号
官方微信