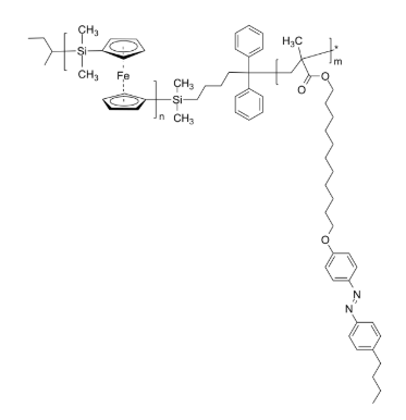
PFES-PAzoMA 聚二茂铁二甲基硅烷-聚(11-[4-(4'-丁基苯基偶氮)苯氧基]-甲基丙烯酸十一烷基酯) 二嵌段共聚物
PFES-PAzoMA 聚二茂铁二甲基硅烷-聚(11-[4-(4'-丁基苯基偶氮)苯氧基]-甲基亚克力 国庆烷基酯) 二嵌段共聚物 中文翻译分类:聚二茂铁二甲基硅烷-聚(11-[4-(4'-丁基苯基偶氮)苯氧基]-甲基丙稀酸11烷基酯)英语又称:PFES-PAzoMA英文版它的全称:Poly(ferrocenyldimethylsilane)-b-poly(11-[4-(4'-butylphenylazo)phenoxy]-undecyl methacrylate)CAS号:n/a大分子结构:[C12H16SiFe]n [C31H44N2O3]m主链结构特征:二嵌段共聚物具体成分表:PFES亲疏水性树脂:疏水成种方式:规范最高原子荧光/夜光:无外光/特性:固定咖啡豆或小粒(以实计外光为界)纯净度:≤ 100%的结构简式:

![PFES-PAzoMA 聚二茂铁二甲基硅烷-聚(11-[4-(4'-丁基苯基偶氮)苯氧基]-甲基丙烯酸十一烷基酯) 二嵌段共聚物-UDP糖丨MOF丨金属有机框架丨聚集诱导发光丨荧光标记推荐西安pg电子娱乐游戏app
生物](/images/logo.png)

pg电子娱乐游戏app
微信公众号
官方微信