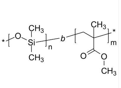
PDMS-PMMA 聚二甲基硅氧烷-聚甲基丙烯酸甲酯 二嵌段共聚物 Poly(dimethylsiloxane)-b-poly(methyl methacrylate)
PDMS-PMMA 聚二甲基硅氧烷-聚甲基水性聚氨酯甲酯 二嵌段共聚物 Poly(dimethylsiloxane)-b-poly(methyl methacrylate) 英语名英文名称:聚二甲基硅氧烷-聚甲基水性聚氨酯甲酯日文英文缩写:PDMS-PMMA英语翻译称怎么读:Poly(dimethylsiloxane)-b-poly(methyl methacrylate)CAS号:n/a; PDMS: 9016-00-6/63148-62-9; PMMA: 9011-14-7原子核式:[Si(CH3)2O]n[C5H8O2]m主链结构类型:二嵌段共聚物关键化学物质:PDMS亲疏丙烯酸乳液:疏水的产分类行:通常100原子核荧光/带光:无外貌/形式:固定顆粒或黏黏介质(以现实外貌时以)溶解度:≤ 100%成分式:



pg电子娱乐游戏app
微信公众号
官方微信