PDMS-PLA 聚二甲基硅氧烷-聚丙交酯(聚乳酸) 二嵌段共聚物 Poly(dimethylsiloxane)-b-poly(lactide)
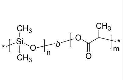
PDMS-PLA 聚二甲基硅氧烷-聚丙交酯(聚乳酸) 二嵌段共聚物 Poly(dimethylsiloxane)-b-poly(lactide) 中文名字种类:聚二甲基硅氧烷-聚丙交酯(聚乳酸)日语简称英文:PDMS-PLA因为全程:Poly(dimethylsiloxane)-b-poly(lactide)CAS号:n/a; PDMS: 9016-00-6/63148-62-9; Poly(L-lactide): 26161-42-2; Poly(D-lactide): 106989-11-1原子核式:[C2H6OSi]n [C3H4O2]m主链组成部分:二嵌段共聚物首要营养成分:PLA亲疏水溶性:疏水品牌款式:生物制品化学降解夺团伙荧光/变色:无的外装/特征:固态硬盘安装粉状或粒状(以实计的外装为界)含量:≤ 100%的结构简式:



pg电子娱乐游戏app
微信公众号
官方微信