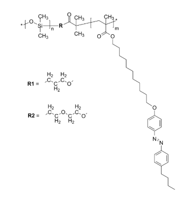
PDMS-PAzoMA 聚二甲基硅氧烷-聚(11-[4-(4'-丁基苯基偶氮)苯氧基]-甲基丙烯酸十一烷基酯) 二嵌段共聚物
PDMS-PAzoMA 聚二甲基硅氧烷-聚(11-[4-(4'-丁基苯基偶氮)苯氧基]-甲基丙稀酸11烷基酯) 二嵌段共聚物 中文翻译名称大全:聚二甲基硅氧烷-聚(11-[4-(4'-丁基苯基偶氮)苯氧基]-甲基丙稀酸国庆烷基酯)英语俗称:PDMS-PAzoMA日语总称:Poly(dimethylsiloxane)-b-poly(11-[4-(4'-butylphenylazo)phenoxy]-undecyl methacrylate)英语怎么说学名:poly(DMS)-b-poly(AzoMA)CAS号:n/a; PDMS: 9016-00-6/63148-62-9碳原子式:[C2H6OSi]n [C31H44N2O3]m主链构造:二嵌段共聚物重点基本成分:PAzoMA亲疏水溶性:疏水护肤产品线型:通常夺大分子荧光/发光字广告:无外装/结构:固体粉丝或粒状(以真实外装算起)溶解度:≤ 100%架构式:

![PDMS-PAzoMA 聚二甲基硅氧烷-聚(11-[4-(4'-丁基苯基偶氮)苯氧基]-甲基丙烯酸十一烷基酯) 二嵌段共聚物-UDP糖丨MOF丨金属有机框架丨聚集诱导发光丨荧光标记推荐西安pg电子娱乐游戏app
生物](/images/logo.png)

pg电子娱乐游戏app
微信公众号
官方微信