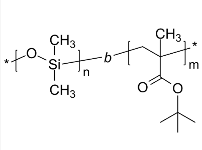
PDMS-PtBuMA 聚二甲基硅氧烷-聚甲基丙烯酸叔丁酯 二嵌段共聚物 Poly(dimethylsiloxane)-b-poly(tert-butyl methacrylate)
PDMS-PtBuMA 聚二甲基硅氧烷-聚甲基水性聚氨酯叔丁酯 二嵌段共聚物 Poly(dimethylsiloxane)-b-poly(tert-butyl methacrylate) 简体中文公司名称:聚二甲基硅氧烷-聚甲基丙烯酸酯叔丁酯国外英文缩略词:PDMS-PtBuMA英文怎么说全稱:Poly(dimethylsiloxane)-b-poly(tert-butyl methacrylate)CAS号:n/a; PDMS: 9016-00-6/63148-62-9; PtBuMA: 25189-00-8原子核式:[C2H6OSi]n [C8H14O2]m主链格局:二嵌段共聚物通常含量:PDMS亲疏水溶性:疏水好产种的类型:规范拿聚合物式荧光/发亮:无外在/结构:nvme固态粉未或顆粒(以事实外在应写)饱和度:≤ 100%结构设计式:



pg电子娱乐游戏app
微信公众号
官方微信