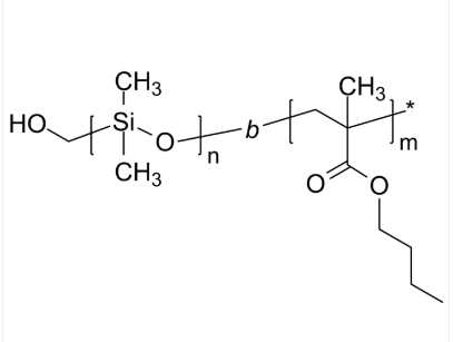
PDMS-PnBuMA 聚二甲基硅氧烷-聚甲基丙烯酸正丁酯 二嵌段共聚物 Poly(dimethylsiloxane)-b-poly(n-butyl methacrylate)
PDMS-PnBuMA 聚二甲基硅氧烷-聚甲基水性聚氨酯正丁酯 二嵌段共聚物 Poly(dimethylsiloxane)-b-poly(n-butyl methacrylate) 常常名稱:聚二甲基硅氧烷-聚甲基丙稀酸正丁酯英语简称英文:PDMS-PnBuMA英文版英文名称:Poly(dimethylsiloxane)-b-poly(n-butyl methacrylate)CAS号:n/a; PDMS: 9016-00-6/63148-62-9; PnBuMA: 9003-63-8分子结构式:[C2H6OSi]n [C8H14O2]m主链结构设计:二嵌段共聚物基本组成成分:PDMS亲疏丙烯酸乳液:疏水物料类别:链端羟基比较高的分数子荧光/亮光:无外部/性状:固体纳米银溶液或顆粒(以实计外部为界)溶解度:≤ 100%结构的式:



pg电子娱乐游戏app
微信公众号
官方微信