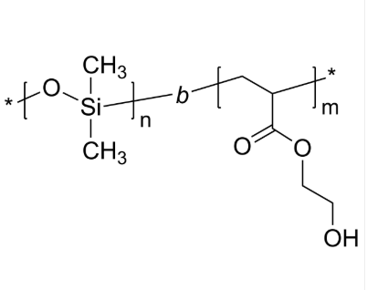
PDMS-PHEA 聚二甲基硅氧烷-聚(丙烯酸2-羟乙基酯) 两亲性二嵌段共聚物 Poly(dithylsiloxane)-b-poly(2-hydroxyethyl acrylate)
PDMS-PHEA 聚二甲基硅氧烷-聚(水性聚氨酯2-羟乙基酯) 两亲性二嵌段共聚物 Poly(dimethylsiloxane)-b-poly(2-hydroxyethyl acrylate) 中文版命名:聚二甲基硅氧烷-聚(亚克力2-羟乙基酯)英文版缩写:PDMS-PHEA用英语全程:Poly(dimethylsiloxane)-b-poly(2-hydroxyethyl acrylate)CAS号:n/a; PDMS: 9016-00-6/63148-62-9; PHEA: 26022-14-0分子结构式:[C2H6OSi]n [C5H8O3]m主链组成:二嵌段共聚物一般因素:PDMS亲疏水性树脂:两亲性厂种类形:规范化抓分子式荧光/发亮:无的外观专利/形状:固态硬盘安装粉末状或颗粒剂(以实际情况的外观专利应写)含量:≤ 100%结构类型式:



pg电子娱乐游戏app
微信公众号
官方微信