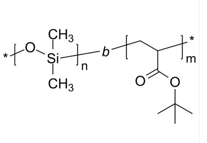
PDMS-PtBuA 聚二甲基硅氧烷-聚丙烯酸叔丁酯 二嵌段共聚物 Poly(dimethylsiloxane)-b-poly(tert-butyl acrylate)
PDMS-PtBuA 聚二甲基硅氧烷-聚丙烯酸酯叔丁酯 二嵌段共聚物 Poly(dimethylsiloxane)-b-poly(tert-butyl acrylate) 中文字幕名字大全:聚二甲基硅氧烷-聚亚克力 叔丁酯用英语缩写:PDMS-PtBuA因为全名是:Poly(dimethylsiloxane)-b-poly(tert-butyl acrylate)CAS号:n/a; PDMS: 9016-00-6/63148-62-9; PtBuA: 25232-27-3原子式:[C2H6OSi]n [C7H12O2]m主链设备构造:二嵌段共聚物重要基本成分:PDMS亲疏水性聚氨酯:疏水厂类别型:规范化满碳原子荧光/会亮:无外觀/体型:固定金属粉或科粒(以事实上外觀准确)溶解度:≤ 100%设计式:



pg电子娱乐游戏app
微信公众号
官方微信