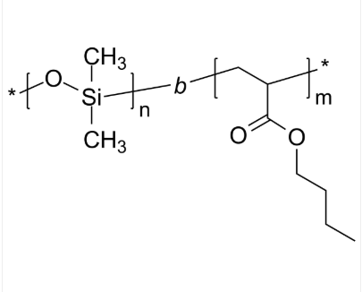
PDMS-PnBuA 聚二甲基硅氧烷-聚丙烯酸正丁酯 二嵌段共聚物 Poly(dimethylsiloxane)-b-poly(n-butyl acrylate)
PDMS-PnBuA 聚二甲基硅氧烷-聚亚克力 正丁酯 二嵌段共聚物 Poly(dimethylsiloxane)-b-poly(n-butyl acrylate) 简体中文各称:聚二甲基硅氧烷-聚亚克力正丁酯用英语全称:PDMS-PnBuA日语全程:Poly(dimethylsiloxane)-b-poly(n-butyl acrylate)CAS号:n/a; PDMS: 9016-00-6/63148-62-9; PnBuA: 9003-49-0团伙式:[C2H6OSi]n [C7H12O2]m主链设计:二嵌段共聚物重点基本成分:PDMS亲疏水性树脂:疏水的产分内型:一般拿聚合物式荧光/发光字:无油漆颜色/结构:固定粉未或粒子(以实践油漆颜色为基准)纯净度:≤ 100%结构特征式:



pg电子娱乐游戏app
微信公众号
官方微信