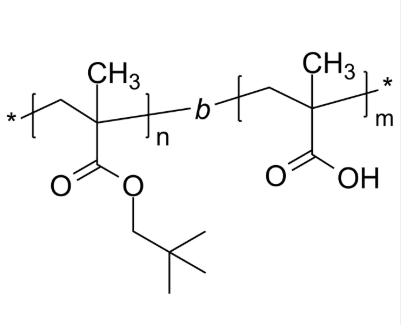
PNPMA-PMAA 聚甲基丙烯酸新戊酯-聚甲基丙烯酸 两亲性二嵌段共聚物 Poly(neopentyl methacrylate)-b-poly(methacrylic acid)
PNPMA-PMAA 聚甲基水性聚氨酯新戊酯-聚甲基水性聚氨酯 两亲性二嵌段共聚物 Poly(neopentyl methacrylate)-b-poly(methacrylic acid) 中文名号:聚甲基水性聚氨酯新戊酯-聚甲基水性聚氨酯英文怎么说英文缩写:PNPMA-PMAA国外英文全名:Poly(neopentyl methacrylate)-b-poly(methacrylic acid)CAS号:n/a; PNPMA: 34903-87-2; PMAA: 25087-26-7分子结构式:[C9H16O2]n [C4H6O2]m主链机构:二嵌段共聚物一般组分:PMAA亲疏水性聚氨酯:两亲性产品的类型、:规范最高原子荧光/亮光:无金属机身/体型:固体咖啡豆或粉末(以实际情况金属机身起算)饱和度:≤ 100%格局式:



pg电子娱乐游戏app
微信公众号
官方微信