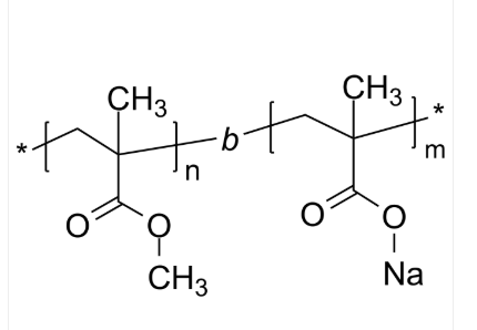
PMMA-PMANa 聚甲基丙烯酸甲酯-聚甲基丙烯酸钠 两亲性二嵌段共聚物 Poly(methyl methacrylate)-b-poly(methacrylic acid sodium salt)
PMMA-PMANa 聚甲基亚克力 甲酯-聚甲基亚克力 钠 两亲性二嵌段共聚物 Poly(methyl methacrylate)-b-poly(methacrylic acid sodium salt) 中文字名号:聚甲基水性聚氨酯酯甲酯-聚甲基水性聚氨酯酯钠用英文怎么说也叫:PMMA-PMANa用英文怎么说全程:Poly(methyl methacrylate)-b-poly(methacrylic acid sodium salt)英语俗称:PMMA-b-poly(sodium methacrylate)CAS号:n/a; PMMA: 9011-14-7; PMANa: 25086-62-8原子式:[C5H8O2]n[C4H6O2Na]m主链构造:二嵌段共聚物最主要化学物质:PMAA亲疏水性聚氨酯:两亲性服务分类:合成树脂物盐荧光/荧光:无外表/行态:固体粉末状原材料或粒状(以实际效果外表为基准)饱和度:≤ 100%组成式:



pg电子娱乐游戏app
微信公众号
官方微信