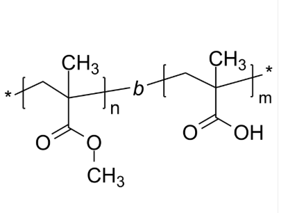
PMMA-PMAA 聚甲基丙烯酸甲酯-聚甲基丙烯酸 两亲性二嵌段共聚物 Poly(methyl methacrylate)-b-poly(methacrylic acid)
PMMA-PMAA 聚甲基亚克力 甲酯-聚甲基亚克力 两亲性二嵌段共聚物 Poly(methyl methacrylate)-b-poly(methacrylic acid) 中文版标题:聚甲基亚克力甲酯-聚甲基亚克力英语怎么说缩写英文:PMMA-PMAA日文简称:Poly(methyl methacrylate)-b-poly(methacrylic acid)CAS号:n/a; PMMA: 9011-14-7; PMAA: 25087-26-7原子式:[C5H8O2]n [C4H6O2]m主链机构:二嵌段共聚物注意含量:PMAA亲疏水:两亲性类产商品种种类:基本抓原子核荧光/放光:无美观/形式:固体纳米银溶液或颗粒剂(以事实上美观为界)饱和度:≤ 100%结构设计式:



pg电子娱乐游戏app
微信公众号
官方微信