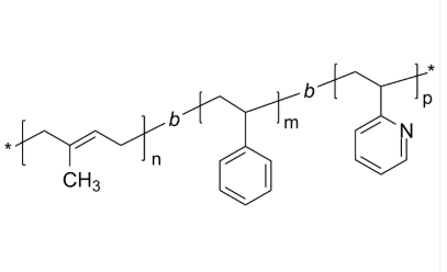
PIP(1,4)-PS-P2VP 聚(1,4-异戊二烯)-聚苯乙烯-聚(2-乙烯基吡啶) ABC三嵌段共聚物
PIP(1,4)-PS-P2VP 聚(1,4-异戊二烯)-聚苯氯丁二烯-聚(2-氯丁二烯基吡啶) ABC三嵌段共聚物 简体中文品牌:聚(1,4-异戊二烯)-聚苯丁二烯-聚(2-丁二烯基吡啶)日文缩写:PIP(1,4)-PS-P2VP日语它的全称:Poly(1,4-isoprene)-b-poly(styrene)-b-poly(2-vinyl pyridine)CAS号:n/a; PS-PIP: 25038-32-8; PIP: 9003-31-0; PS: 9003-53-6; P2VP: 25014-15-7大化学结构式:(C5H8)n (C8H8)m (C7H7N)p主链结构的:ABC三嵌段共聚物最主要的组分:PIP亲疏水性树脂:两亲性物项目型:常规的夺大分子荧光/放光:无铜网外在/姿态:固体粉末状或粒子(以实计铜网外在为基准)含量:≤ 100%构成式:



pg电子娱乐游戏app
微信公众号
官方微信