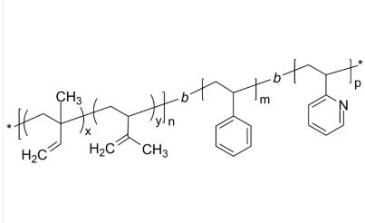
PIP(1,2-co-3,4)-PS-P2VP 聚(1,2-co-3,4-异戊二烯)-聚苯乙烯-聚(2-乙烯基吡啶) ABC三嵌段共聚物
PIP(1,2-co-3,4)-PS-P2VP 聚(1,2-co-3,4-异戊二烯)-聚苯氯氯乙烯-聚(2-氯氯乙烯基吡啶) ABC三嵌段共聚物 繁体中文命名:聚(1,2-co-3,4-异戊二烯)-聚苯乙稀-聚(2-乙稀基吡啶)英语翻译缩略词:PIP(1,2-co-3,4)-PS-P2VP英语翻译全名是:Poly(1,2-isoprene-co-3,4-isoprene)-b-poly(styrene)-b-poly(2-vinyl pyridine)CAS号:n/a; PS-PIP: 25038-32-8; PIP: 9003-31-0; PS: 9003-53-6; P2VP: 25014-15-7碳原子式:(C5H8)n (C8H8)m (C7H7N)p主链空间结构:ABC三嵌段共聚物最主要的基本成分:PIP亲疏丙烯酸乳液:两亲性产品设备方式:普通高分数子荧光/变色:无外型/姿态:固态硬盘安装金属粉或粒状(以实际上的外型准确)色度:≤ 100%设计式:



pg电子娱乐游戏app
微信公众号
官方微信