PEtOXZ-PDMS-PEtOXZ 聚乙基恶唑啉-聚二甲基硅氧烷-聚乙基恶唑啉 乙基苄基链接 ABA三嵌段共聚物
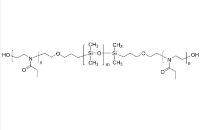
PEtOXZ-PDMS-PEtOXZ 聚乙基恶唑啉-聚二甲基硅氧烷-聚乙基恶唑啉 乙基苄基联接 ABA三嵌段共聚物 中文翻译名字:聚乙基恶唑啉-聚二甲基硅氧烷-聚乙基恶唑啉 乙基苄基友链英语统称:PEtOXZ-PDMS-PEtOXZ英语怎么说全名:Poly(2-ethyl oxazoline)-b-poly(dimethyl siloxane)-b-poly(2-ethyl oxazoline), with ethyl-benzyl link between blocks英语俗称:Poly(2-ethyloxazoline-block-dimethyl siloxane-block-2-ethyloxazoline)CAS号:n/a; PDMS: 9016-00-6/63148-62-9; PEtOXZ: 25805-17-8团伙式:HO[C5H9NO]n [C2H6OSi]m [C5H9NO]nOH主链设计:ABA三嵌段共聚物大部分材质:PEOXZ/PEtOXZ亲疏水性聚氨酯:两亲性產商品种的类型:链端羟基比较高的分数子荧光/发光字广告:无外表/价值形式:固态硬盘粉尘或粒状(以实际情况外表起算)纯净度:≤ 100%构成式:



pg电子娱乐游戏app
微信公众号
官方微信