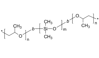
PPO-PDMS-PPO 聚环氧丙烷-聚二甲基硅氧烷-聚环氧丙烷 ABA三嵌段共聚物
PPO-PDMS-PPO 聚环氧防锈漆防锈漆丙烷-聚二甲基硅氧烷-聚环氧防锈漆防锈漆丙烷 ABA三嵌段共聚物 英文版名字:聚固化剂丙烷-聚二甲基硅氧烷-聚固化剂丙烷英文版简单来说就是:PPO-PDMS-PPO英语怎么说全程:Poly(propylene oxide)-b-poly(dimethyl siloxane)-b-poly(propylene oxide)CAS号:n/a; PPO: 25322-69-4; PDMS: 9016-00-6/63148-62-9大分子结构:[C3H6O]n [C2H6OSi]m [C3H6O]n主链结构类型:ABA三嵌段共聚物基本组成:PPO亲疏水溶性:两亲性服务类型的:常规化100氧分子荧光/带光:无油漆颜色/底部形态:nvme固态粉状或颗粒状(以预期油漆颜色算起)色度:≤ 100%设备构造式:



pg电子娱乐游戏app
微信公众号
官方微信