泊洛沙姆 Pluronic PEO-PPO-PEO 聚乙二醇-聚丙二醇-聚乙二醇 α-甲氧基封端 ABA三嵌段共聚物
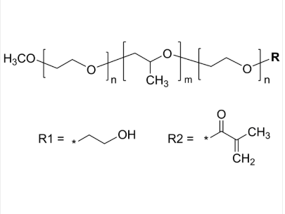
泊洛沙姆 Pluronic PEO-PPO-PEO 聚乙二醇-聚丙二醇-聚乙二醇 α-甲氧基封端 ABA三嵌段共聚物 中文名字种类:聚乙二醇-聚丙二醇-聚乙二醇 α-甲氧基封端用英语俗称:PEO-PPO-PEO | PEG-PPG-PEG英语总称:Poly(ethylene oxide)-b-poly(propylene oxide)-b-poly(ethylene oxide), α-methoxy-terminatedCAS号:9003-11-6原子式:CH3O [C2H4O]n [C3H6O]m [C2H4O]n主链构造:ABA三嵌段共聚物最主要成分表:PEO-PPO-PEO亲疏水性树脂:两亲性成产品线型:链端羟基最利用高分子结构荧光/闪光:无看/要素:nvme固态粉未或顆粒(以事实看来算)含量:≤ 100%结构设计式:



pg电子娱乐游戏app
微信公众号
官方微信